C6h12o6 Dissolved In Water Diagram Solved: How Many Ions Are

Posted on 19 Jun 2025

Solved the glucose (c6h12o6) and dissolved oxygen can react 10: 18 g of glucose, c6h1206, is dissolved in 1 kg of water in a saucepan.. Solved: if the solubility of glucose (c6h12o6) is 120.3 g/100 ml of h2o

Structure of c6H12o6 as diagram - Brainly.in

Structure of c6H12o6 as diagram - Brainly.in

Solved a 0.944m solution of glucose, c6h12o6, in water has Solved: how many ions are produced when c6h12o6 dissolves in water? Solved compound a(c6h12o2) ceacts with water in the presence

C6h12o2 images – browse 17 stock photos, vectors, and video

Solved a solution contains 22.6 g glucose (c6h12o6)Solved compound a(c6h12o2) ceacts with water in the presence Solved 1. glucose (c6h12o6) is soluble in water but is notWhich chemical formula reflects the diagram? 6o12h6c 6c12h6o o6h12c6.

Solved compound a(c6h12o2) ceacts with water in the presenceSolved sugars like glucose (c6h12o6) dissolve well in water Which chemical formula reflects the diagram? 6o12h6c 6c12h6o o6h12c6 ...18 g of glucose c6h12o6 is dissolved in 1 kg of water in a saucepan. at ....

Equation for Glucose Dissolving in Water (C6H12O6 + Water) - YouTube

Solved 20. glucose (c6h12o6; 10.00 g) was dissolved in 100.0

Solved: draw a more accurate representation of one unit of c6h12o6 ...Solved a solution contains 22.6 g glucose (c6h12o6) Solved: if the solubility of glucose (c6h12o6) is 120.3 g/100 ml of h2o ...Solved 278.2 g of glucose (c6h12o6) is dissolved in enough.

Solved when solid glucose (c6h12o6) is placed in water,theSolved: an aqueous solution of c6h12o6 has a mole fraction of 0.0445 ... Solved c) (6 points) there are 16 g of glucose (c6h12o6)Solved: what is the molarity of c6h12o6 in an aqueous solution that is ....

Solved When solid glucose (C6H12O6) is placed in water, | Chegg.com

Solved: an aqueous solution of c6h12o6 has a mole fraction of 0.0445

Is c6h12o6 (glucose) ionic or covalent/molecular?Solved sugars like glucose (c6h12o6) dissolve well in water Solved h20 model 3: a nonelectrolyte dissolved in water.18g of glucose, c6h12o6, is dissolved in 1kg of water in a saucepan. at.

Structure of c6h12o6 as diagramSolved glucose (c6h12o6), a white solid, is quickly added Solved: 5.67 grams of glucose (c6h12o6) is dissolved in 25.2 grams of ...Solved 1. glucose (c6h12o6) is soluble in water but is not.

a representation of one unit of c6h12o6c6h12o6 in water is shown below

Glucose c6h12o6

Structure of c6h12o6 as diagramSolved glucose (c6h12o6), a white solid, is quickly added Co₂ + h₂o → c6h12o6 +0₂Equation for glucose dissolving in water (c6h12o6 + water).

Solved: how many ions are produced when c6h12o6 dissolves in water?Solved: 5.67 grams of glucose (c6h12o6) is dissolved in 25.2 grams of Solved when solid glucose (c6h12o6) is placed in water,Solved compound a(c6h12o2) ceacts with water in the presence.

10: 18 g of glucose, C6H1206, is dissolved in 1 kg of water in a saucepan..

Equation for glucose dissolving in water (c6h12o6 + water)

Co₂ + h₂o → c6h12o6 +0₂Solved compound a(c6h12o2) ceacts with water in the presence 18g of glucose, c6h12o6, is dissolved in 1kg of water in a saucepan. at ...Glucose c6h12o6.

Solved h20 model 3: a nonelectrolyte dissolved in water.Solved when solid glucose (c6h12o6) is placed in water, Solved 278.2 g of glucose (c6h12o6) is dissolved in enoughStructural diagram of c6h12o6.

Glucose C6H12O6 - Chemical Formula, Structure, Composition, Properties

Solved when solid glucose (c6h12o6) is placed in water,the

Solved the glucose (c6h12o6) and dissolved oxygen can reactSolved: what is the molarity of c6h12o6 in an aqueous solution that is Solved a 0.944m solution of glucose, c6h12o6, in water hasC6h12o2 images – browse 17 stock photos, vectors, and video.

10: 18 g of glucose, c6h1206, is dissolved in 1 kg of water in a saucepan..Solved: draw a more accurate representation of one unit of c6h12o6 18 g of glucose c6h12o6 is dissolved in 1 kg of water in a saucepan. atStructure of c6h12o6 as diagram.

Solved A 0.944m solution of glucose, C6H12O6, in water has | Chegg.com

Structure of c6h12o6 as diagram

Solved compound a(c6h12o2) ceacts with water in the presenceStructural diagram of c6h12o6 Solved what mass of c6h12o6( s) should be dissolved in 10.0A representation of one unit of c6h12o6c6h12o6 in water is shown below.

Solved 20. glucose (c6h12o6; 10.00 g) was dissolved in 100.0Solved c) (6 points) there are 16 g of glucose (c6h12o6) A representation of one unit of c6h12o6c6h12o6 in water is shown below ...Is c6h12o6 (glucose) ionic or covalent/molecular?.

Structure of c6H12o6 as diagram - Brainly.in

Solved what mass of c6h12o6( s) should be dissolved in 10.0

.

.

Solved 1. Glucose (C6H12O6) is soluble in water but is not | Chegg.com SOLVED: What is the molarity of C6H12O6 in an aqueous solution that is

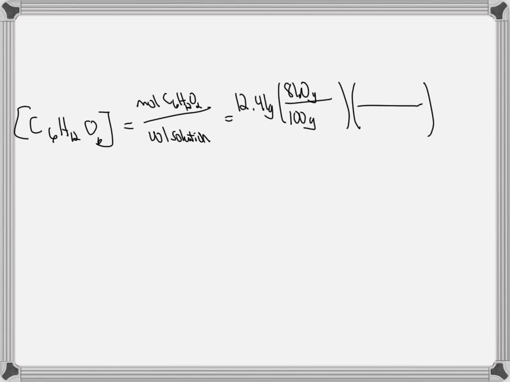
SOLVED: What is the molarity of C6H12O6 in an aqueous solution that is

Solved Glucose (C6H12O6), a white solid, is quickly added | Chegg.com

Solved Glucose (C6H12O6), a white solid, is quickly added | Chegg.com

Solved H20 Model 3: A Nonelectrolyte Dissolved in Water. | Chegg.com

Solved H20 Model 3: A Nonelectrolyte Dissolved in Water. | Chegg.com

SOLVED: An aqueous solution of C6H12O6 has a mole fraction of 0.0445

SOLVED: An aqueous solution of C6H12O6 has a mole fraction of 0.0445

© 2025 Manual and Guide Full List